Link recomendado: http://www.sosmath.com/diffeq/system/nonlinear/linearization/linearization.html
El objetivo de este blog es reforzar y ampliar los conceptos correspondientes a los temas del curso, a partir de la busqueda de información y uso de distintos materiales académicos, divulgando contenidos de interes que hemos seleccionado de artículos, enlaces en internet, presentaciones pptx, libros, simulaciones y videos entre otros, con el fin de mejorar la experiencia de aprendizaje. Este blog corresponde al grupo 3 de Señales y Sistemas 2 (grupo 4)
domingo, 21 de noviembre de 2010
Equilibrium Point Analysis: Linearization Technique
Link recomendado: http://www.sosmath.com/diffeq/system/nonlinear/linearization/linearization.html
Linealización de modelos
La técnica de linealizar ecuaciones debibo a que el modelamiento de sistemas dispone de herramientas que facilitan la comprensión de los modelos en base a ecuaciones difenciales lineas.
La técnica mas utlilizada se basa en el desarrollo de series de Taylor. En este documento se aplican está técnica a las ecuaciones diferenicales no lineales suponiendo que las variables de entrada al modelo y las variables independientes y todas su derivadas son cada una de las variables de las que depende la función.
Linealización de Modelos Matemáticos No Lineales
Linealizacion de modelos:
Link recomendado: http://www.elai.upm.es/spain/Asignaturas/Servos/Apuntes/4_Modelado.pdf
Modelos lineales:
Link recomendado: http://csd.newcastle.edu.au/SpanishPages/clase_slides_download/C03.pdf
domingo, 7 de noviembre de 2010
Control de lazo cerrado PID:
Tomado del link recomendado: http://www.youtube.com/watch?v=U8B5CIpmyv0
Aplicación de los algoritmos de PID a un controlador logico programable:
Root Locus con Matlab:
Link recomendado: http://www.youtube.com/watch?v=cEMbBCc0jUI
Contol PID con matlab:
Aplicación de control PID:
Link recomendado: http://www.youtube.com/watch?v=2zRSMcMLRC4
Control PID con Root Locus:
Link recomendado: http://www.automatas.org/hardware/teoria_pid.htm
lugar geométrico de las raices:
Link recomendado: https://www.u-cursos.cl/ingenieria/2007/2/ME55A/1/material_docente/bajar?id_material=152663
domingo, 24 de octubre de 2010
Diagramas de bloques y Matlab:
Link recomendado: http://sdc-un.blogspot.com/2006/09/diagramas-de-bloques-y-matlab.html
Diagramas de bloques:
Link recomendado: http://www.youtube.com/watch?v=vVC9RRd5dag
Funcion de transfernecia con SCILAB:
representar dicho sistema ante entrada escalón y ante entrada impulso.
Link recomendado: http://www.youtube.com/watch?v=KaOezl8gWO8
Diagramas de bloques y de Mason:
Link recomendado: http://www.ci.ulsa.mx/libroe/Diagrama%20de%20Bloques.pdf
Función de tranferencia y diagramas de bloques con Matlab:
Función de tranferencia desde el diagramas de bloques:
Algebra de bloques:
Diagramas de bloques y función de transfrencia:
Función de tranferencia y diagramas de bloques:
Link recomendado: http://www.slideshare.net/Telecomunefasenales/funciones-de-transferencia?src=related_normal&rel=1503300
domingo, 10 de octubre de 2010
Variables de estado
• Definición de las variables de estado
• Valores característicos
• Función de transferencia
• Transformaciones de similitud
http://proton.ucting.udg.mx/materias/moderno/modulo2.htm
Control Moderno
Curso Universidad Nacional
Control Systems/Controllability and Observability
Libro de Wikibooks que tiene licencia creative commons por lo tanto podemos utilizarlo:
Se tradujo la introducion:
".. .El concepto de controlabilidad se refiere a la habilidad de controlar arbitrariamente la funcionalidad de sistema.
la variable de estado de un sistema x, representa el trabajo interno del sistema que puede ser separado de la relación de entrada-salida del sistema , También este necesita ser medido y observado. El termino Observabilidad describe entre el estado interno de las variables del sistema.."
.
Lecture 19 | Introduction to Linear Dynamical Systems
Cursos del profesor Stephen Boyd, del departamento de ingeniera de la universidad de Stanford
Donde se introduce a la álgebra lineal aplicada para sistemas dinámicos, con aplicaciones al procesamiento de circuitos, comunicaciones y sistemas de control.
Tópicos incluidos:
Aproximaciones de Mínimos cuadrados a las ecuaciones sobre determinantes y soluciones, Simétria de las matrices, norma matricial y la descomposición de valor singular. Valores y vectores propios la interpretación dinámica. Matriz exponencial, la estabilidad y comportamiento asintótico. Multi-entradas y varias salidas sistemas, el impulso y las matrices de paso; convolución.
En este capitulo en particular:
Controllability and Observability.
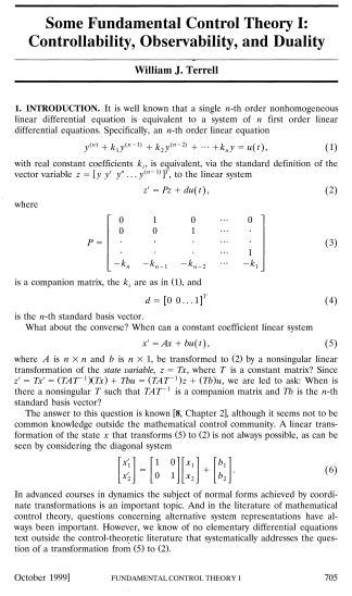
Some Fundamental Control Theory I: Controllability, Observability, and Duality
El principal propósito de este articulo es introducir ideas en la teoría matemática de control, el objetivo es aprovechar a través de la "equivalencia" entre n-dimensiones y los sistemas de primer orden lineas.
Se introducen los conceptos centrales de la teoría moderna de control.Se derivan algunos resultados clásicos como controlabilidad y observabilidad. se considera también las relaciones con otros importantes tópicos en control como la estabilidad de equilibrio, y la linearización del sistema.
http://mathdl.maa.org/images/upload_library/22/Ford/Terrell705-719.pdf
Estabilidad del sistema
Como determinar cuando un sistema es BIBO estable.
Este video es uno de la serie de videos para la clase: EGR 433: Transformadas y Modelamiento de Sistemas de la Univesidad Estatal de Arizona: los lins par ver otros videos se pueden encontrar en:
https://sites.google.com/a/asu.edu/signals-and-systems/
domingo, 19 de septiembre de 2010
ECUACIONES DE DIFERENCIAS
Link para visitar:
http://cnx.org/content/m12965/latest/
Modelos de sistemas dinámicos
link a visitar:
http://www.scribd.com/doc/2634854/MODELOS-MATEMATICOS-DE-SISTEMAS-FISICOS
Applet que permite la solución de ecuaciones diferenciales y de diferencia
Link a visitar:
Solución de Ecuaciones Diferenciales y de Diferencias
http://www.mathworks.com/matlabcentral/fileexchange/27356-soluci%C3%93n-de-ecuaciones-diferenciales-y-de-diferencias
Método del factor integrante para circuitos eléctricos
Modelado e identificación de sistemas físicos
El documento se encuentra dispoible en la página slideshare.net, en el siguiente enlace:
http://www.slideshare.net/ptah_enki/modelamiento-matemtico
GUIA SIMULINK

Simulink es un programa que permite al usuario modelar sistemas mecanicos
Virtual System son simulaciones numéricas configurables por el usuario de los sistemas físicos que las animaciones de salida de la respuesta dinámica
MATLAB / Simulink tiene herramientas integradas capaces de generar animaciones personalizadas AVI para una variedad de sistemas dinámicos, sin necesidad de cajas de herramientas o software adicional de terceros.
Modelado de Sistemas Físicos
http://isa.uniovi.es/docencia/ra_marina/UCLM_TEMA3.PDF
Introduction To Linear Dynamical Systems
Cursos del profesor Stephen Boyd, del departamento de ingeniera de la universidad de Stanford
Donde se introduce a la álgebra lineal aplicada para sistemas dinámicos, con aplicaciones al procesamiento de circuitos, comunicaciones y sistemas de control.
Tópicos incluidos:
Aproximaciones de Mínimos cuadrados a las ecuaciones sobre determinantes y soluciones, Simétria de las matrices, norma matricial y la descomposición de valor singular. Valores y vectores propios la interpretación dinámica. Matriz exponencial, la estabilidad y comportamiento asintótico. Multi-entradas y varias salidas sistemas, el impulso y las matrices de paso; convolución.
domingo, 5 de septiembre de 2010
Matlab Tutorial- Low Pass Filter
http://www.youtube.com/watch?v=RqftMXga3x4&feature=related
El diseño de filtros activos.
Nombre del Paper: A Hybrid Active Filter for Damping of Harmonic Resonance in Industrial Power Systems.
Este papaer sólo es accesible en IEEExplore, a través de la red de la Universidad Nacional.
Analisis en frecuencia de los filtros.
Libro titulado : Señales y sistemas. Continuos y discretos. Soliman S. Samir. Capitulo 10.
Uso de paquetes de software en el diseño de filtros.
http://webdiee.cem.itesm.mx/web/servicios/archivo/trabajos/comunicaciones/filtros/
Diseño de Filtros Digitales
Documento Técnicas de diseño de filtros
http://focus.ti.com/lit/ml/sloa088/sloa088.pdf